Testimonials

smart access control system testimonial

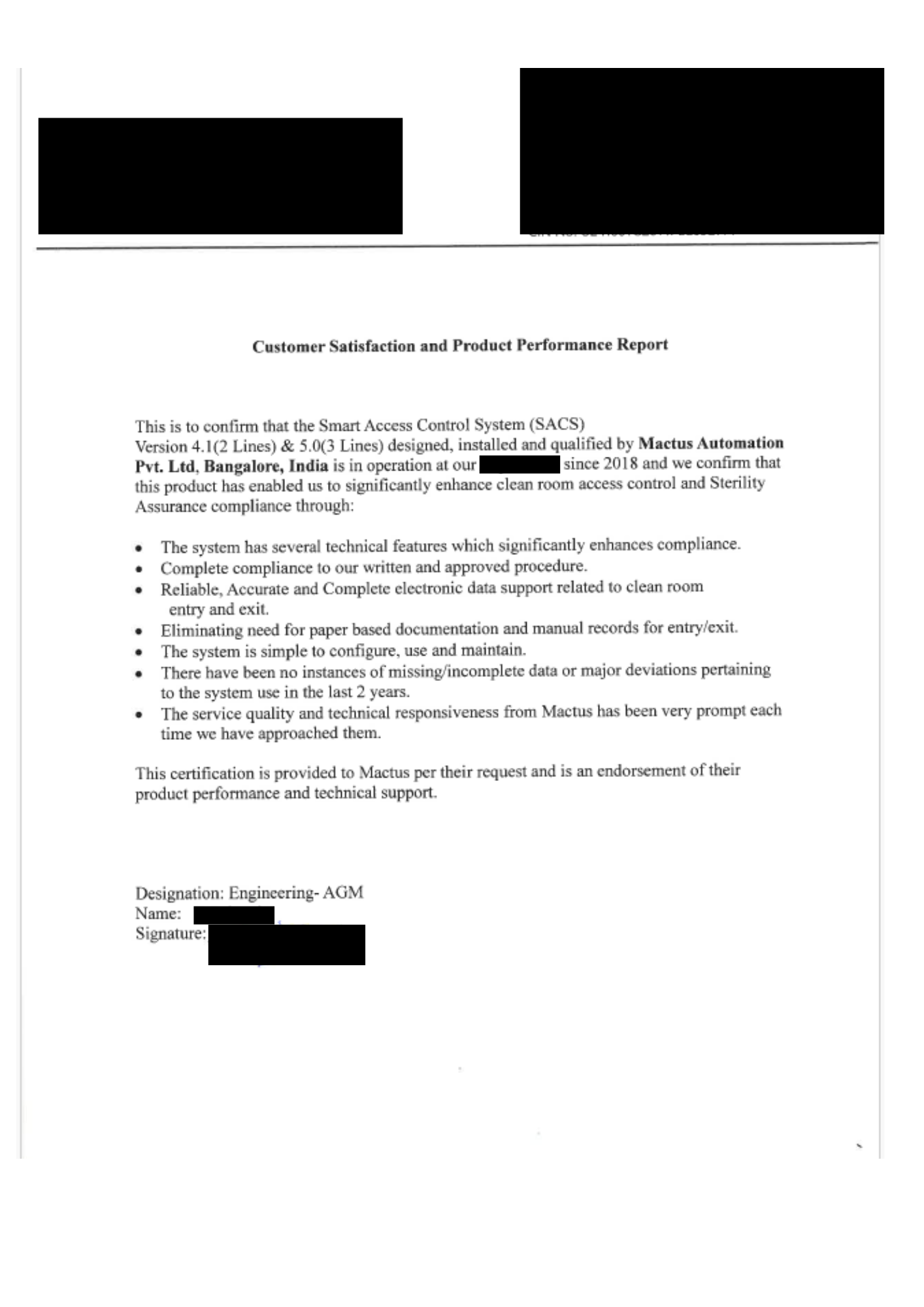
Customer Validation – SACS

Documented confirmation of cleanroom access control and compliance support using SACS.

Automated solution dispensing system testimonial

Customer Validation – ASDS

Confirmation of successful design, installation, qualification, and operational performance of the Automated Solution Dispensing System.